
全国房地产开发投资增速

全国商品房销售面积及销售额增速

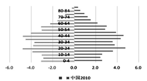
我国人口及年龄结构状况
资料显示,截至2013年,我国城镇居民人均住房面积已达32.7平方米。这个数据至少有三层含义:一是我国人均住房面积水平已经不低;二是存量旧房面临改善居住功能、更换配套设施的艰巨任务;三是这个巨大市场尚未被人关注。根据估算,其规模大约有1.5万亿元。而从另一个角度看,这更是一个可以启动居民、企业、政府三种投资力量的巨大投资市场,是房地产及其关联产业可以持续大有作为的新天地。当然,这个存量房改造市场不同于新房建设,需要政府主动引导、企业积极投入、居民自觉参与,需要本着为民服务的精神和市场化原则,做耐心细致的工作。只有调动三方积极性,才能把这个市场搞活起来。
——亚夫
■经过近20年超常规发展,我国住房供求关系已基本平衡,新增住宅消费对经济增长驱动的作用已明显下降。但住宅折旧增加、住宅建设与装修理念落后、配套基础设施建设缺失等,表明当前城镇居民旧房居住品质改善存在很大的发展空间,将有助于居民消费需求的释放。
■截至2013年末,我国城镇居民人均住房面积32.7平方米。若以当年城镇常住人口7.3亿来计算,我国城镇大约有存量住宅面积238.71亿平方米。而2015年上半年全国商品房销售均价为6815元/平方米,考虑折旧因素,按照0.5系数来折算,存量住宅销售均价为3407元/平方米,由此可以推导得到全国存量住宅总价值为81.33万亿元。
■若以2000年划界,2/3存量住宅或多或少都需要对品质进行改善。假定每平方米居住品质提升成本为100元,那么存量住宅品质提升市场空间大约为15000多亿元。当然,这样估算或过于简单,我国城镇旧房改造和危房处置是一个动态连续过程,实际上市场潜力可能远较上述估算要大。
■旧房居住品质改善是一项系统性工程,投资成本较大,政府需发挥规划与引导作用,利用财政资金撬动旧房改善市场,鼓励居民自主投资消费,有效改善居住品质,并促进消费需求释放。
□陈涛
住房消费增长呈趋势性放缓
虽然受今年3月份国家系列稳定住房消费政策组合拳刺激,加上刚性和改善性住房需求累积释放,今年上半年全国楼市出现回暖迹象,今年1-6月份,全国商品房销售面积50264万平方米,同比增长3.9%,而1-5月份为下降0.2%;其中,住宅销售面积增长4.5%,以深圳为代表的一线城市住房交易成交活跃。但从趋势分析,在人口结构变化、住宅供求关系转变以及家庭住房消费动力不足等因素的综合作用下,未来我国住房消费增长仍将呈现趋势性放缓。
1.人口结构趋势性变化限制住房数量型增长空间
居住权是人类最基本权利。住房为人服务,人口因素是房地产市场核心驱动力。随着我国人口结构趋势性变化,我国房地产业数量型增长空间将会明显受限。
一是购房主力人口将在2015年达到峰值。
据有关机构研究,1990年后出生的人口总数比1980后出生的人口总数下降了23%,2000后出生的人口总数又比1990后出生的人口总数缩减16%。这些情况与数据反映出我国人口增长见顶并回落的趋势性变化。传统上分析,25岁至49岁是商品住宅购房人口主力。根据我国人口演变特征推算,购房主力人口将在2015年达到峰值,并将从2018年开始趋势性下降。
二是人口老龄化将引发未来住房闲置问题。
从国家层面上看,2014 年我国总抚养比为46.8%,远低于世界平均的74%、印度的77%、美国的68%,也低于日本历史上最低点(1996 年)的59.5%,人口老龄化压力剧增。人口增长拐点和人口结构趋向老龄化,将不可避免引发住房闲置问题。据日本总务省发布的《住宅和土地统计调查》,截至2013年10月1日,日本全国共有5240多万个家庭,住宅总数约为6063万套,按每户一套计算,闲置住宅约为820万套。闲置空置住宅占日本全国住宅总数的13.5%,创当时统计调查以来历史最高纪录。从人口演变情况看,我国人口老龄化趋势已经形成,未来住房闲置问题需要未雨绸缪。
2.住宅供过于求运行风险增大
始于2013年四季度的全国性房地产市场调整,发生在政策真空期,显示出市场力量的自发性与自觉性。回顾我国房地产市场发展历史,从上世纪80年代、90年代的城镇住房普遍短缺,到如今城镇住房供求关系基本平衡,部分三、四线城市甚至还出现住宅过剩,反映出房地产业数量型增长模式的巨大成绩。
2012年末,全国城镇居民人均住房面积32.9平方米,已经超过部分发达国家水平,完全能够满足居住需求。同时也应该看到,计划生育政策将引发未来住宅市场供过于求,楼市“明日危机”并非“天方夜谭”。2000年出生的孩子,如果不是因为房屋破旧重置,那么很难产生新增住宅需求。当前以提高人均住宅消费面积的市场逻辑,未来在理论上将难以持久。
3.当前家庭新增住宅消费后劲不足
从整体购买力分析,随着住房需求收入中枢下移,中低收入人群将成为主力购房群体,降低了对新房市场的整体吸纳能力。虽然去年以来已经连续三次降息,个人住房贷款利率降至阶段性历史低位,5年以上个人住房公积金贷款利率为3.5%,已经是历史新低,但因为房价偏高,对中低收入人群的支持力度依然有限。
从家庭住宅投资分析,住宅价格累积涨幅过大导致租金收益率明显偏低。最近3次降息虽然有效改善了住宅定价基准,但租金收益率与基准存款利率仍有差距,特别是当前金融市场工具平均收益率远远超出租金收益率水平,降低了家庭住宅投资积极性。
从家庭财富配置结构调整分析,我国普通家庭住宅不动产财富比重过高,财富流动性存在明显不足。而发达国家家庭非金融资产比重明显低于我国。2005年,日本家庭非金融资产比重为46.4%,美国为43.4%,英国是63.6%,加拿大是51.1%。从财富风险、安全与流动性综合考虑,我国普通家庭客观上需要增加金融投资资产比重,改善财富流动性状况,降低住宅不动产变现风险。综合来看,基于市场尾部需求,当前家庭住宅消费后劲存在不足。
城镇旧房改造市场空间巨大
过去几年来,全国各地多次出现城镇旧房倒塌、电梯卡人、住宅质量频发的报道,已经引起了社会广泛关注。城镇住宅居住质量主要依赖于建设时的空间构造和装修风格,这些并不因为时间迁移而内在促进旧房居住质量的改善。
1.旧房改造市场建设必要性何在
一是城镇旧房改造需求较为旺盛。
1998年我国推出住房制度改革以来,将近20年时间我国住房建筑面积成倍增长。期间,住房建筑技术和装修理念也在不断进步,新型建筑材料也在不断应用,住宅配套设施建设也在逐步完善。但这是一个缓慢渐进并逐步加速的过程。很多上世纪盖的房子,特别是1990年前后新盖的住宅,存在套内面积狭小,附带卫生及水电工程建设落后,墙皮掉落,隔音效果差等问题。但因为还没有危及住宅居住质量,也没有可能全部拆除重建。
即使如此,因为住宅本身折旧和建筑构造落后,所以居民改善住房品质的愿望十分强烈,这其中包括住房加固、电梯安装与更新、外墙面修缮、水电改造、停车位建设等等,都与原居民日常居住生活品质提高密切相关。此外,还有部分上世纪80年代建造的楼盘,经过近30年的物理与化学折旧,住宅安全与质量问题需要引起地方政府主管部门的高度关注。
最近几年,城镇居民住宅楼倒塌的事件有增多趋势,城市危房改造空间巨大。据统计,2013年上海市各类居住房屋已超过5.6亿平方米,其中老旧住宅约占2.2亿平方米,这些房屋由于各种原因,其结构、设施均存在不同程度的缺陷,有的设施老化甚至影响到了居住安全。据调查,1980年前北京建成的房屋也多不满足北京地区抗震设防标准;没有节能措施,附属设施老化。综合来看,我国城镇旧房改造潜在和现实需求巨大。
二是城镇旧房改造需求市场规模较大。
截至2013年末,我国城镇居民人均住房面积32.7平方米。假定城镇常住人口基本等同于城镇居民数,按照当年城镇常住人口7.3亿来计算,我国城镇大约有存量住宅面积为238.71亿平方米。今年上半年全国商品房销售均价为6815元/平方米,考虑到折旧因素,按照0.5系数来折算,存量住宅销售均价为3407元/平方米,由此可以推导得到全国存量住宅总价值为81.33万亿元。
当然,并不是所有存量住宅都需要对居住品质进行改善。最近10年我国住宅销售面积大幅增长,2010-2013年期间,我国共销售商品住宅面积合计为84.85亿平方米,约占城镇存量住宅面积的1/3。若以2000年划界,2/3存量住宅或多或少都需要对品质进行改善。我们假定每平方米居住品质提升成本为100元,那么存量住宅品质提升市场空间大约为15000多亿元。当然,上述估算过程过于简单,可能并不反映实际情况。应该看到,我国城镇旧房改造和危房处置是一个动态连续过程,实际上市场潜力可能远较上述估算要大。
2.城镇旧房改造市场建设可行性
一是房地产业数量型增长模式不可持续。
在中央及地方稳定住房消费系列组合拳政策的刺激下, 上半年全国商品房销售面积由前5个月的下降0.2%转为增长3.9%,热点城市住宅交易量明显上升。但在住宅交易回暖的过程中,房地产市场出现新的运行特征,将对房地产业数量型增长模式提出巨大挑战。主要表现在:
(1)二手房交易日趋活跃。在住宅成交回暖过程中,新房和二手房市场走势截然不同。以北京为例,据中介机构统计,今年上半年北京商品住宅(剔除保障房和自住房)合计成交套数较上年同期下降11%,创下历史同期新低。而二手房市场却“量增价稳”,成交套数约为新房成交套数的3倍,同比增长88.6%。今年上半年全国二手住宅交易量剧增已经成为房地产市场的普遍现象。随着二手房在市场交易结构中比重快速上升,新房去库存将会受到明显干扰,也将影响到未来房地产市场供求关系格局。
(2)房地产开发投资意愿下降。今年上半年全国商品房销售面积增速持续回升,同比增速由年初的下降16.3%快速回升至上半年的3.9%。而房地产开发投资增速由年初增长10.5%持续回落至上半年的4.6%。经过十多年持续较快发展,楼市供求双方趋向理性,即使当前一线城市房价出现环比上涨,也没有可能再现过去疯狂买房状况。
2015年上半年,北京市住宅新开工面积为559.8万平方米,下降17.8%。即使是在住宅成交回暖的上半年,全国房地产开发企业土地购置面积同比下降33.8%。这些情况表明,房地产开发企业对住宅市场前景预期还未完全恢复到市场调整之前。
(3)商业地产运行低迷。随着“互联网+”对商业零售模式的冲击,以及对传统消费习惯的改造,城市商业零售份额日益受到挤压,已经呈现出需求不足的状况。目前看,部分城市的商业地产过剩风险开始显现。据中介机构统计数据显示,2015年末全国主要城市商业综合体存量面积将达到3.6亿平方米,2016年以后更将突破4.3亿平方米。即使是在一线城市北京,今年前5个月,北京市商品房销售面积同比下降5.8%,而住宅销售面积同比增长8.9%,反映出商业地产滞销风险。
这些情况表明,我国房地产业数量型增长模式运行空间日益狭小,致力于新房建设,增加建筑面积,未来将面临较大的去库存难题。
二是投资对宏观经济增长的支撑作用趋向下降。
固定资产投资是资本形成的主要途径,也是破除未来经济发展瓶颈的有效方式。今年上半年,我国固定资产投资同比名义增长11.4%(扣除价格因素实际增长12.5%),增速比一季度回落2.1个百分点。当前制约投资增长的主要原因有,社会投资意愿下降。上半年我国民间投资增长11.4%,与全部固定资产投资增长速度持平。过去,民间投资集中的领域主要为房地产。随着房地产业调整进一步演变,民间资本进入房地产领域的积极性有所下降。同时,新兴产业投资的前景还不明朗,盈利模式还在探索,也在一定程度上降低了民间投资的积极性。
此外,项目落地进展相对缓慢。项目建设落地,既需要前期可行性研究的科学充分性,也需要资金及时拨付,更需要项目管理方积极作为。但从当前项目落地进展情况看,难以达到预期进展。未来需要进一步加快项目建设督察,推动项目落地建设,发挥投资对宏观经济增长的关键支撑作用。今年上半年固定资产投资到位资金同比增长6.3%。其中,国家预算资金增长18.6%,国内贷款下降4.8%,自筹资金增长8.6%,利用外资下降30.9%。贷款增长速度回落,反映出金融机构信贷投放意愿的下降。综合来看,投资对宏观经济稳定增长的边际作用开始出现递减。
三是居民消费扩大需要寻找新的方向。
截至2015年6月末,我国住户存款余额高达53.28万亿元,这还不包括以证券交易结算资金、金融机构同业存放形式的存款,可见我国居民消费购买潜力巨大。在宏观经济增长速度放缓过程中,消费需求对宏观经济增长的支撑与驱动作用明显上升。今年上半年,我国最终消费支出对国内生产总值增长的贡献率为60.0%,比上年同期提高5.7个百分点。
尽管如此,应该看到抑制消费需求的因素依然存在,消费对宏观经济稳定增长的作用仍有很大提升空间。从改革开放三十多年来,我国居民消费热点随收入增长和宏观经济形势不断变化。改革开放初期,自行车、缝纫机是年轻人结婚必备的两件耐用消费品。上世纪80年代初,电视机、摩托车成为消费热点,由此带动家用电器消费的爆发式增长。到了上90年代,手机和高端家用电器进入普通家庭。1998年住房制度改革启动后,住房消费成为家庭消费持续热点。20世纪初,围绕着手机消费,我国通信产业得到飞速发展。国际金融危机爆发后,黄金珠宝等消费也一度成为消费热点。
但从目前情况看,过去这些消费热点都已经成为历史,对宏观经济增长的推动作用趋向下降。特别是住房消费增长潜力已经受限,居民消费急需新的热点。而城镇旧房改造需求关系到普通家庭切身利益和消费水平,存在巨大需求潜力,可以成为消费新热点并发挥长期作用。事实上,在个人消费难以有效启动情况下,地方政府将注意力放在城镇存量住房改善上,通过政府补贴、金融支持、居民投资等,刺激相关消费释放,并驱动内需增长。应该看到,城镇存量住房改造,不仅可以创造投资,而且还可以改善民生,而且也为房地产业发展指出了一条新的发展道路。
启动城镇旧房改造需要注意哪些问题
一是如何有效引导家庭有序改造旧房。
城镇旧房改造是一项系统工程,需要激发家庭自主改造积极性。如果业主自身没有改造积极性,那么政府引导行为容易受到抵触。在住宅区每栋楼房里,每家每户经济条件、生活习惯都不同,强行推进楼房改造,容易发生纠纷。即使就单户家庭而言,为改善居住品质进行的装修,将给邻居的正常作息带来不便。特别是类似为旧房新安装电梯,费用摊派实际上也不纯粹是技术活,低层住户可能借口不需要电梯而主张不承担相关费用,这需要政府耐心解释、沟通与费用分摊的合理设计。
二是如何发挥政府财政资金撬动作用。
作为民生工程,旧房改造是地方政府必须要考虑的问题之一。旧房改造既存在增加居住成本,也存在经济学上的外部性和“搭便车”问题,加上民间议事机制落后和协调成本高昂,若启动旧房改造,往往需要政府资金先行。也就是地方政府出台鼓励旧房改造的资金补贴政策,提高居民旧房改造意愿。这种资金补贴政策需要通过社区工作人员和业委会的持久努力,才能达到政策宣传效果,并让居民真正了解政策优惠的核心所在,并促使家庭主动改造旧房。因此,资金补贴多少,需要经过大量细致的调查分析与计算,才能合理确定具体金额。
三是如何发现有效的旧房改造模式。
旧房改造与原住户的日常生活必然存在冲突。如何将这种冲突降低到最小,是地方政府必须要研究的实际问题。一种办法是业委会寻找施工方,一种办法是地方政府统一招标,第三种办法是业主自行选择。这些办法都有利弊,关键是要看具体的人文环境,地理环境等,事实上也难以确定一个行之四海皆准的有效办法,关键是因地制宜,结合对象与实际情况探索本地有效模式。
四是资金缺口如何筹措。
如果城镇旧房改造预算存在缺口时,应该如何筹措?地方政府应该未雨绸缪,早作研究规划。事实上,支持旧房改造的财政资金也存在筹措问题。由于旧房改造与土地开发属于两个概念,前者完全是地方政府投入,效益是看不到的消费扩张和税收增加;而后者是地方政府经营土地,收益是看得见的巨额土地出让收入。在这个资金筹措过程中,如何发挥金融支持作用,也需要认真考虑。
五是如何吸引房屋开发建筑企业参与旧房改造市场。
在旧房改造过程中,“拆、改、留、修”都是可选方式。但对房地产开发企业来说,只有拆除重建才能获得相当利润。具体来说,在拆除旧建筑后在原址进行重建。这里会涉及重建规模,若重建规模超过原有规模,如何对新增规模进行规划,如何处置新增建筑面积,都涉及各方利益。
特别是在拆除后,原有住户暂时居住的地方需要提前安排,也涉及租赁费用问题,都要地方政府统筹考虑。而其他“改、留、修”方式对房地产开发企业的吸引力不大,但对建筑装修企业充满吸引力。近年来,上海市政府以“业主自愿、政府扶持、因地制宜、多元筹措”为原则,探索“拆、改、留、修”多种方式,多渠道、多途径地改善广大市民群众的居住条件和质量,取得了很好的实效。
综合各方面情况看,我国房地产将回归平稳运行新常态。房地产市场不太可能重现过去黄金岁月,房地产开发投资高速增长历史一去不复返,房价狂飙时光也不再。从实物住宅情况看,我国已经进入总体供求平衡阶段。房地产业并不意味着只有盖楼。追求数量型扩张,不仅没有动力,而且也缺乏利润增长空间。
未来我国房地产市场开发建设热点将从满足增量需求为主向存量需求升级转移。应该看到,我国住房品质提升存在很大空间。上世纪90年代开发的楼盘至今已经25年了,存在管道老化、设施不全等问题,存在较强改善需求。展望未来,以存量住房置换为核心,或将构成房地产开发重点。